12+ Calculate Ellipse Area


Area Of An Ellipse Proof For Area Formula And Examples


Geometry How To Determine The Arc Length Of Ellipse Mathematics Stack Exchange


Area Circumference Of An Ellipse Formula Examples Video Lesson Transcript Study Com


Area Circumference Of An Ellipse Formula Examples Video Lesson Transcript Study Com


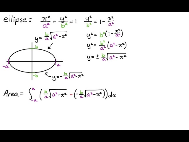
Area Of An Ellipse Youtube


Ellipse Definition Equations Derivations Observations Q A


Ambrsoft Net Ellipse Calculator


How To Calculate The Area Of An Ellipse 5 Steps With Pictures


Centroid Area Moments Of Inertia Polar Moments Of Inertia Radius Of Gyration Of An Elliptical Half


Ellipse Standard Form Calculator


Ellipse Definition Equations Derivations Observations Q A


How To Calculate The Area Of An Ellipse 5 Steps With Pictures


Solved An Equation Of An Ellipse Is Given A Identify The Chegg Com


Area Of Ellipse Conic Sections Mathematics Wethestudy


Area Of An Ellipse Web Formulas


Ellipse Calculator Math Methods Learning Mathematics Basic Math


Ellipse Definition Parts Equation And Diagrams


Ellipse Definition Equations Derivations Observations Q A

Iklan Atas Artikel

Iklan Tengah Artikel 1

Iklan Tengah Artikel 2

Iklan Bawah Artikel